2. Sitzung 2011 am 27. Juni 2011
Unterlagen zur Sitzung
Einladung und Tagesordnung
Protokoll der Sitzung
Alle anderen Dokumente sind vom nachfolgenden Text aus verlinkt.
Stellungnahme der Borner Alternative
Anwesende:
- 10 Gemeindevertreter, Hr. Knopf (Bürger für Born) fehlt entschuldigt
- über 40 Zuhörer
zumeist Eltern von Kita-Kindern
u.a. die Kita-Leiterin, Frau von Pressentin-Panzer
der Kita-Elternbeirat
Hr. Hunger, Kreisdiakonisches Werk
Fr. Riemer, Ostsee-Zeitung
Zum Top 1 – Eröffnung
Der Bürgermeister begrüßt die Anwesenden und bedankt sich bei der Borner Alternativen, dass sie der Verkürzung der Ladefrist um einen Tag zugestimmt hat.
Zum Top 2 – Einwohnerfragestunde
- Frage: Wie ist der Stand der Einrichtung eines Kinderspielplatzes hinter dem Kaufhaus Stolz / An der Bäk ?
Der Bürgermeister führt aus, dass zunächst die Sicherheitsbedenken wegen der angrenzenden Bäk ausgeräumt werden müssten. Die vom Kaufhaus Stolz gesponserten Spielgeräte stünden bereit. Das Kaufhaus Stolz müsse nun das Signal zur Aufstellung der Geräte durch die Gemeinde geben. Darauf werde noch gewartet.
- Frage: Wie ist der Stand bei der Lösung des Problems Fußgängerüberweg im Kreuzungsbereich Kaufhaus Stolz, ist der gewünschte Kreisverkehr noch im Gespräch ?
Der Bürgermeister erläutert zunächst ausführlich Probleme auf Kreis- und Landesebene, die sich im Zusammenhang mit der geplanten Fahrrad-Querung der L21 im Kreuzungsbereich bei der Waldschenke ergeben haben. Hier werde durch die Gemeinde nicht mit den notwendigen Baumaßnahmen begonnen, solange der Landkreis seine repressive Regelung zu Fahnenmast und Veranstaltungswerbung für den Ort aufrecht erhalte.
Zum Überweg am Einkaufszentrum (Edeka) weist er auf Probleme mit dem Grundstückseigentümer hin, die bisher nicht zu klären waren. Auf das Thema Kreisverkehr ging der Bürgermeister nicht ein.
- Zum Thema Baustelle Chausseestrasse wird der Baufortschritt und der scheinbar nicht optimale Bauablauf bemängelt. Besonders gelte dies für den noch nicht fertig gestellten Anschluss an die L21.
Hr. Roepke erläutert die bautechnischen Notwendigkeiten des Ablaufes. Der Aufbau der Straße habe von der tiefsten Stelle (Bäk-Querung) ausgehen müssen. Somit würde die L21 erst zum Abschluss des ersten Bauabschnittes erreicht. Der Zeitverzug wäre zwar bedauerlich, aber vor allem dem lange hochstehenden Grundwasser geschuldet.
Der Bürgermeister betonte, dass Gemeinde und Baufirma die Erreichbarkeit vieler Anwohnergrundstücke so schnell wie möglich hergestellt haben (Mittelweg/An de Bäk).
Zum Top 3 Änderungsanträge und Bestätigung der Tagesordnung
Hr. Roepke beantragt die BV 177/11 der Borner Alternative zur Rücknahme der Kita-Kündigung als "Nichtöffentlich" zu deklarieren. Er beruft sich in seiner Begründung auf die Hauptsatzung, die im §3 die Gründe für Nichtöffentlichkeit benennt. Ein dort genannter Grund ist die Behandlung von Verträgen mit Privatpersonen. Das Kreisdiakonische Werk sei als Verein dem Status einer privaten Person gleichgestellt.
Unsere Stellungnahme:
Nach Auffassung der Borner Alternative hätte die Beschlussvorlage auch öffentlich behandelt werden können, da es sich lediglich um die Rücknahme eines bereits öffentlich bekannten Beschlusses handelte.
Wenn der Bürgermeister allerdings bereits vor der Sitzung zu der Auffassung gekommen ist, dass dieser TOP in den nichtöffentlichen Teil gehört, hätte dies auch in der Einladung deutlich werden müssen. Dies wäre gegenüber den Betroffenen fair gewesen. Viele Eltern, Erzieher sowie Herr Hunger vom Kreisdiakonischen Werk, waren extra aufgrund der vorliegenden Einladung zur Sitzung der Gemeindevertreter gekommen. Als sich herausstellte, dass sie umsonst da waren, wurde deutlicher Unmut geäußert. Unter Protesten verließen viele Anwesende den Saal. Der Bürgermeister sicherte zu, die evtl. noch außerhalb des Sitzungssaales Wartenden umgehend über den Beschluss zu informieren.
Unserer Ansicht nach trägt ein solches Verhalten zur Politikverdrossenheit der Bürger in erheblichem Maße bei.
Die Verlegung in den nichtöffentlichen Teil wurde mit 7 Ja-Stimmen, 2 Nein-Stimmen (Borner Alternative) und einer Enthaltung angenommen.
Die Ostsee-Zeitung hat am 30.6.2011 einen Artikel hierzu veröffentlicht.
Top 4 Bestätigung des Protokolls der letzten GV-Sitzung
Es gab keine Einwände.
Top 5 Bericht des Bürgermeisters
- Darß-Marathon: erstmalige Durchführung durch die Darß-Gemeinden Prerow, Wieck und Born. Auswertung liege noch nicht vor, da Prerow derzeit noch keinen Kurdirektor habe.
- Neubau Fischaufzuchthalle: Berechtigte Anwohnerbeschwerden bzgl. der Baufirma, darüber sei man seitens der Gemeinde im Gespräch
- Baustelle neben Borner Hof: Verzögerung wg. verspäteter Abgabe der erforderlichen Unterlagen seitens des Bauherren
- Holm: Hier gäbe es „Bewegung“ -Vertreter der Gesellschaft haben sich bei Bürgermeister gemeldet
- Badestelle: Bauliche Lösung wäre gut, würde aber „schlecht geredet“. Auf eine Lackbehandlung des Holzes sei verzichtet worden, um Fäulnisbildung zu vermeiden. Im übrigen unterliege eine Badestelle nicht den Sicherheitsanforderungen eines Spielplatzes.
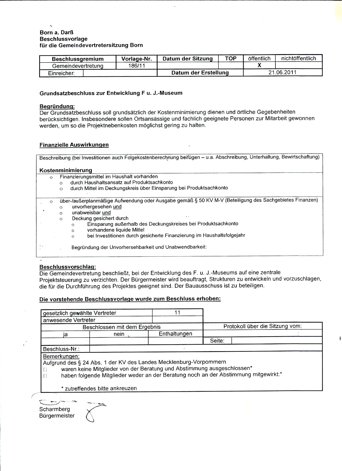
Top 6 (neue Nummerierung) Beschlüsse zur weiteren Verfahrensweise bei der Entwicklung des Forst- und Jagdmuseums
In beiden nachfolgenden Beschlüssen wurde das Thema erweitert – es wurde nicht nur das Forst- und Jagdmuseum betrachtet, sondern der gesamte Komplex der alten Oberförsterei.
- Dem Grundsatzbeschluss 186/11 wurde mit 8 Ja-Stimmen bei 2 Nein-Stimmen der Borner Alternative zugestimmt.
Begründung der Borner Alternative zu den Gegenstimmen.
Die Borner Alternative fragte nach der genauen Bedeutung der in der Beschlussvorlage formulierten „Zentralen Projektsteuerung“. Darauf gab es keine befriedigende Antwort.
Wir sehen es als falschen Weg an, auf eine Projektsteuerung zu verzichten, und statt dessen den Bürgermeister mit der Organisation des Ausbaues zu beauftragen.
Wir stimmen zu, die Kosten zu minimieren und dabei auch fachlich geeignete Einwohner zu beteiligen. Aufgrund der Komplexität des Vorhabens halten wir es jedoch für dringend erforderlich, sich ein professionelles Projektmanagement zu Nutze zu machen.
Vorteile: Einsatz externer Berater für klar umrissene, begrenzte Aufgaben (Planung, Finanzierung, Zeitrahmen) unter Federführung der Gemeinde als Bauherr.
Die Markterfahrung zeigt, dass die Kosten eines vernünftigen Projektmanagements am Ende deutlich geringer sind als die zu erwartenden Kosten, die durch Versäumnisse, Koordinationsfehler und das einzugehende Risiko einer „Aus-dem-Bauch-Steuerung“ üblicher Weise nach sich zieht.
In der Diskussion wurden viele Befürchtungen im Zusammenhang mit einer Vergabe an eine externe Projektsteuerung deutlich, u.a. zu hohe Kosten, „nicht optimale Lösungen“, Fremdbestimmung. Der Wunsch bestand, sich stattdessen einen gemeindeinternen Weg „zurechtzimmern“ zu können. Der Bürgermeister bemühte hier das Beispiel der Berliner Museumsinsel, die 30 Jahre Entwicklungszeit beansprucht habe. Wir sind auch der Meinung, dass die „Alte Oberförsterei“ nicht schnell übers Knie gebrochen werden sollte. Es ist allerdings zu vermuten, dass das Berliner Projekt nicht nur ehrenamtlich von Mitgliedern des Senats entwickelt worden ist.
- Der Handlungsbeschluss 187/11 wurde einstimmig angenommen.
Top 07 Informationen, Termine, Sonstiges
Hierzu gab es außer auf den Hinweis zum Borner Hafenfest am 2.7.11 keine Ausführungen.
Ende des öffentlichen Teils
Im nichtöffentlichen Teil wurde wie am Anfang festgelegt die Borner Alternative-Beschlussvorlage 177/11 behandelt.
Der Bürgermeister verkündete im Anschluss der Öffentlichkeit das Abstimmungsergebnis:
Die Beschlussvorlage der Borner Alternativen wurde abgelehnt mit 7 Nein-Stimmen bei 2 Ja-Stimmen und 1 Enthaltung.
Außerdem teilte er mit, dass nun die Kündigung ausgesprochen und die Ausschreibung fertig gestellt werde. Der Bürgermeister versuchte es als Entgegenkommen darzustellen, dem Kreisdiakonischen Werk eine Mitwirkung bei der Erstellung der Ausschreibung anzubieten.
Abgesehen von den Argumenten, die wiederholt von der Borner Alternative genannt wurden halten wir das Herangehen, erst zu kündigen und anschließend eine Ausschreibung zu platzieren, für grob fahrlässig. In der freien Wirtschaft ist es selbstverständlich, einen bestehenden Vertrag erst zu kündigen, wenn ein verbindliches Vertragsangebot mit günstigeren Bedingungen vorliegt.
Die Wahrscheinlichkeit ist groß, dass es zu einem Betreiberwechsel mit nicht konfessioneller Ausrichtung kommt. In Folge sind 20-25 % weniger Kinder zu erwarten, was einen entsprechenden Einnahmeverlust bedeutet. Da aber allen Erzieherinnen die Weiterbeschäftigung zugesichert wurde und die Leistungen verbessert werden sollen, ist eine Kostenerhöhung zu erwarten, die die Gemeinde, also die Borner Bürger zu tragen hätten.
